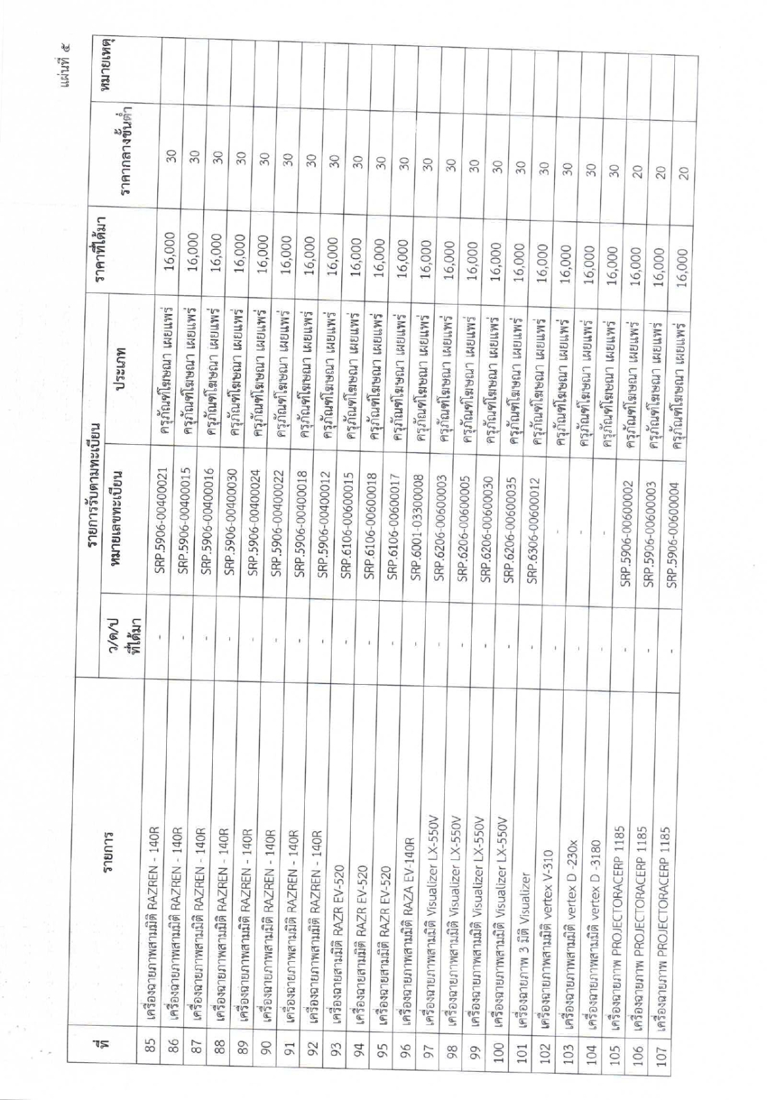
ขายทอดตลาดพัสดุชำรุด/เสื่อมสภาพ/ไม่จำเป็นต้องใช้ในราชการ ประจำปีงบประมาณ 2567 / ข่าวประกาศ / By สุธน ภักดี ดาวน์โหลดไฟล์คลิกที่นี่ Post Views: 155